中国顶尖科学家数量已超越美国 从跟跑到领跑

2025-11-05 HaiPress

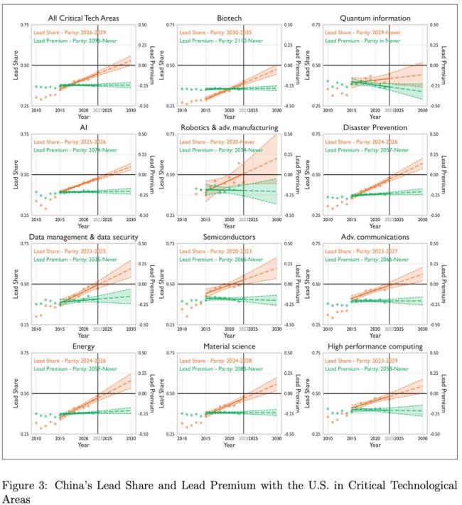
中国顶尖科学家数量已超越美国 从跟跑到领跑!中国科研正从数量取胜转向质量与领导力的提升,逐步实现从跟跑到领跑的转变。在国际合作中,中国的领衔比例迅速上升,逐渐与美欧趋于均衡。在人工智能、先进通信、半导体与量子等关键领域,中国不仅加速发展,还在顶尖期刊和高被引成果上取得显著进步。

过去几十年间,中国科研在国际舞台上实现了后来者居上的传奇。曾几何时,中国因论文数量激增而被称为“论文大国”,但质量参差不齐。如今,中国正逐步摆脱这一刻板印象,以更高的科研质量和领导力崭露头角。在国际科研合作中,中国正从追随者变为领跑者,不仅体现在论文数量上,更反映在科研合作角色的转变和成果影响力的提升上。

在全球科研合作团队中,中国科学家正快速缩小与美欧在领导力上的差距。数据显示,2010年中美合作论文中担任团队领导的中国科研人员仅占约30%,而到2023年这一比例已升至45%。预计在2027年前后,中国与美国科研合作中的领导者占比将达到平衡。尽管如此,在人均领导力方面,中国仍需长时间追赶。

科学实力的较量集中在人工智能、半导体、通信等关键前沿领域。过去这些领域长期由西方国家主导,如今中国正迅速缩小差距并在部分领域实现领跑。例如,在人工智能领域,中国不仅发表的人工智能研究论文数量位居世界第一,专利产出也高居榜首。更重要的是,中国的人工智能系统性能进步神速,已将与美国的差距从两年前的“双位数”提升到如今几乎持平。

在半导体与通信领域,中国在5G技术上已是公认的领军者之一。在集成电路与芯片研究方面,尽管受到技术封锁压力,中国科研人员在材料、制造工艺等前沿发表了大量高水平论文,国际合作中扮演主导的角色逐年增多。量子科技领域,中国也取得了惊人进展,如2020年研制的“九章”量子计算机通过光子实现了量子优越性,震惊了国际物理与计算领域。

免责声明:本文转载自其它媒体,转载目的在于传递更多信息,并不代表本网赞同其观点和对其真实性负责,亦不负任何法律责任。 本站所有资源全部收集于互联网,分享目的仅供大家学习与参考,如有版权或知识产权侵犯等,请给我们留言。
      联系我们   SiteMap